一、这次排名主要用了哪些统计指标?
1.期刊指数统计排名,主要采取了三个基本指标——转载量、转载率和综合指数。转载量即为原发期刊被本年度复印报刊资料全文转载的绝对量数值;转载率主要反映了原发期刊的优质学术论文的占比情况,是用该期刊当年被复印报刊资料全文转载的篇数除以该刊当年总发文数(不含增刊上的论文);综合指数既反映了期刊全文转载的绝对量情况,又反映了期刊论文质量的相对量情况。
2.机构指数统计排名,主要采用了两个基本指标——转载量和综合指数。转载量即以作者机构为统计对象,分析该单位被本年度复印报刊资料全文转载的绝对量数值;综合指数既反映了作者机构全文转载的绝对量情况,又反映了作者机构论文质量的相对量情况。
二、转载量和发文量是按照什么原则进行统计?
(一)在期刊排名和机构排名中,统计转载量和发文量坚持以下三个原则:
(1)剔除会议消息、报道、花絮、补白等明显的非学术性文章。
(2)严格按中宣部传媒监管局批准的正式刊号逐一统计,对于一号多版的期刊,转载数、发文数一律合并计算。
(3)复印报刊资料不转载“增刊”论文,故“增刊”论文也不在统计范围。
(二)在期刊排名中,统计转载量和发文量时按以下四个原则:
(1)被转载的一组笔谈中,单篇满6000字计为1篇,单篇均不满6000字则总共算1篇。
(2)对于内刊、报纸上发表的论文,不纳入期刊排名统计中;集刊纳入统计范围,统一用“*”标识。
(3)被复印报刊资料重复转载的论文,在各学科排名时取论文最高得分,转载量不重复计算。
(4)若在同一种期刊上不同刊期的论文被拆分为两篇及以上发表时,转载量按复印报刊资料的实际转载量统计。
三、转载量和发文量分别取自哪个时间段?
由于受编辑出版过程和发行周期的影响,原发期刊当年度刊发的文章,自然地就有一部分被选入下年度的复印报刊资料中。因此,2021年的转载量的统计是取自被2021年度复印报刊资料学术系列刊转载的论文。
因复印报刊资料系列刊转载论文,一般比原发报刊出版延迟3个月,如复印报刊资料2021年第1期转载的绝大部分论文是原发报刊2020年第10期刊发的论文,因此,某刊当年总发文量指2020年10月至2021年9月每期发文数之和。
四、转载量指标的统计刊源范围是复印报刊资料全部期刊吗?
不是。2021年度中国人民大学书报资料中心编辑出版纸质期刊共有148种,其中复印报刊资料系列期刊共有118种,“文摘”系列期刊14种,“报刊资料索引”系列期刊8种,原发期刊8种。2021年度复印报刊资料转载指数排名统计范围仅限于其中的纯学术类全文转载期刊。具体刊源请见复印报刊资料学术系列刊转载量统计刊源,2021年的刊源为97种。
五、为什么个别原发期刊转载量与公布的转载量不一致?
导致这种情况的原因有以下四个:
一是此次排名发布只针对学术论文,非学术论文未进入排名统计中。
二是被转载的一组笔谈中,单篇满6000字计为1篇,单篇均不满6000字则总共算1篇。
三是倘若在同一种期刊上不同刊期的论文被拆分为两篇及以上发表时,转载量按复印报刊资料的实际转载量统计。
四是转载量中不包含复印报刊资料转载的非学术文章或文摘。
五是因为复印报刊资料按论文学科分布确定期刊学科分布,转载论文可能分散到不同学科,某个学科表上的转载量仅代表该学科,不代表全部。
六、综合指数是通过什么指标计算出来的呢?
综合指数既是对转载量、转载率、篇均分三项指标的加权求和。
(1)期刊综合指数=0.4×转载量归一值+0.3×转载率归一值+0.3×篇均分归一值;
(2)机构综合指数=0.6×转载量归一值+0.4×篇均分归一值。
注:由于转载量、转载率和篇均分三个指标的“量纲不同”,因此需要进行归一化处理后才能加权求和。某指标得分归一值=该指标原始得分值/该类数据中此指标的最大值。
七、篇均分是怎样计算出来的呢?
“篇均分”是指某期刊或作者机构被复印报刊资料转载论文的平均得分。(1)期刊论文篇均分=该期刊被复印报刊资料转载论文按5个指标评估的总得分(发表载体指标除外)/该期刊被转载论文数;(2)机构论文篇均分=该机构被复印报刊资料转载论文按6个指标评估的总得分/该机构被转载论文数。需进一步说明的是:
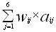
“单篇论文得分”是指每篇被转载论文依照“指标体系”评出的量化得分。
①单篇论文得分=
,Wij为第j个指标在某一学科下的权重,αij为该指标的得分。
②针对不同评委在按照指标体系对论文进行评分过程中容易出现“松紧程度不一”的情况,在计算期刊或作者机构的综合指数之前,首先通过“数据修正公式”,将同一评委对同一篇论文的评分,除以得分平均值并乘以修正系数,以减少这一因素对评分结果的影响。具体公式请参见登录zlzx.ruc.edu.cn查询“人文社科论文质量评估指标体系”。
八、“综合性期刊”的界定?
综合性期刊是指明显被复印报刊资料多个学科期刊转载的原发期刊,党政干部院校学报也视为综合性期刊。
九、“高等院校主办学报”的界定?
一是主办单位为某高等院校且名称形如“某某大学(学院)学报”的期刊都是高等院校学报;二是期刊名称里无大学名称但经查实确属高校学报,如现代传播(中国传媒大学学报)、现代财经(天津财经大学学报)等。《教学与研究》、《北京大学教育评论》等虽也是高等院校主办刊物,但非高等院校主办学报。
十、“社科院(联)主办综合性期刊”的界定?
指全国各级社科院、社科联主办的综合性很强且明显被复印报刊资料多个学科期刊转载的原发期刊,不包括社科院(联)下属研究所、研究中心主办的期刊。像《人力资源》、《领导科学》、《安徽史学》等社科院、社科联主办的专业性很突出的期刊不入此类,仅在各学科分类期刊里进行排名。
十一、“党政干部院校学报”的界定?
党政干部院校学报是指全国各类党校、行政学院、社会主义学院、干部管理学院等院校主办的学报。
十二、在“学科分类期刊排名”或“作者机构分学科排名”中是如何进行学科分类的?
(一)学科分类标准
学科分类参考了教育部的学科分类设置,同时也结合了中心专题期刊的选文定位,共涉及哲学、理论经济学、应用经济学、法学、公安学、政治学、社会学、民族学、马克思主义理论、教育学、心理学、中国语言文学、外国语言文学、地理学、体育学、新闻传播学、艺术学、考古学、中国史、世界史、管理科学与工程、工商管理、农林经济管理、公共管理和图书馆、情报与档案管理等学科。
(二)特殊处理学科
(1)在“学科分类期刊排名”中,对于交叉性较强的经济学(理论经济学与应用经济学)、语言文学(中国语言文学与外国语言文学)、历史学(中国史与世界史)和管理学(管理科学与工程、工商管理、农林经济管理和公共管理)等学科,我们既分别对这些一级学科的期刊进行独立排名,又将交叉学科门类(经济学、语言文学、历史学和管理学)的期刊进行了综合排名。军事学学科的期刊论文样本较小,暂不进行排名。
基础教育教学领域单独列类,分为综合期刊和专业期刊分别排名。
(2)在“作者机构分学科排名”中,因为部分学科的学术论文转载量较少且作者机构较为离散,所以,地理学等学科没有进行高等院校分学科的统计排名;民族学、体育学、地理学等学科没有进行高等院校所属机构分学科的统计排名。由于存在两个一级学科在高等院校(含所属机构)中的设置界线较为模糊的情况,故除了按理论经济学和应用经济学、中国史和世界史分别排名以外,还对经济学、历史学学科门类总体进行了转载量和综合指数排名。
十三、当转载量、转载率和综合指数相同时,怎么对原发期刊或作者机构进行排序?
当期刊转载量相同时,按发文数从小到大排列(当转载量和发文数都相同时,按音序排列);当期刊排名表的末尾出现并列名次且不能全部进入排名表的范围时,删掉年度发文数量相对较大的期刊;当期刊的转载率、综合指数完全相同时,按音序排列;机构的转载量、综合指数得分完全相同时,按音序排列。
十四、怎么统计署名有多个作者或多个单位的“作者机构”?
在统计机构排名时,“作者机构”指论文所标注的第一作者的第一单位,对其他作者或作者机构暂不做统计。
十五、“高等院校”和“高等院校所属机构”的界定?
“高等院校”本次只统计了我国大陆地区的高校名单;“高等院校所属机构”是指论文所标注的第一作者的第一高校单位下属的各学院、系以及直接隶属于高校的研究院、研究所、研究中心等实体研究机构。
十六、排名表名次的数量是怎么确定的呢?
期刊排名和机构排名中,只统计被转载3篇及以上的期刊和机构进入各排名表。
我们发布的排名结果虽然是基于同行评议打分和客观数据统计,但也只能从某些角度看具有相对合理性,即它反映了期刊界和教学科研机构的一种基本态势,尚有许多方面有待在今后的深入研究中继续补充完善。希望同行、专家对我们的探索和研究进行指导、帮助、批评、指正,共同为促进我国人文社科学术成果评价向科学化、规范化、应用化方向发展做出贡献。
联系电话:010-62519375
E-mail:rendapjzx@163.com
