中国人民大学书报资料中心(以下简称书报资料中心)以传播中国学术精品,服务全球知识创新为使命,助力中国特色哲学社会科学学科体系、学术体系、话语体系和自主知识体系建构。书报资料中心编辑出版的复印报刊资料系列期刊共115种,是我国最大的哲学社会科学期刊集群。复印报刊资料始终坚持原创导向的选文理念,以学术共同体为选文主体,采用以文评文的选文方式,精选千家报刊,荟萃中华学术,每年从全国4000余种报刊公开发表的40多万篇学术论文中,精选约3%(1.2万篇左右)的优质论文予以转载。
书报资料中心每年根据复印报刊资料的全文转载数据,从转载量、转载率和综合指数3个维度,分别研制期刊和机构的转载指数。该转载指数至今已连续26年在《光明日报》、学习强国微信公众号和App、人大转载评价微信公众号、人大复印报刊资料微信公众号、书报资料中心官方网站(zlzx.ruc.edu.cn)、中国哲学社会科学自主知识体系数字创新平台(学术世界)官方网站(xueshushijie.cn)等媒体公开发布,基本客观地反映了中国哲学社会科学期刊、教学科研机构的学术成果水平。
(一)数据样本:2025年度复印报刊资料转载论文
复印报刊资料系列期刊基本覆盖了我国哲学社会科学所有一级学科,内容涉及哲学、理论经济学、应用经济学、统计学、法学、公安学、纪检监察学、政治学、中共党史党建学、社会学、民族学、马克思主义理论、教育学、心理学、中国语言文学、外国语言文学、地理学、体育学、新闻传播学、艺术学、考古学、中国史、世界史、管理科学与工程、工商管理学、农林经济管理、公共管理学和信息资源管理等学科领域。对于一些交叉性较强的学科、冷门绝学和新兴学科,也设置了相应期刊或栏目。
复印报刊资料选文依据《复印报刊资料选文工作规范(2025年版)》(以下简称《规范》)。该《规范》遴选了反映学术论文质量水平的4个同行评议指标,即学术创新程度、论证完备程度、社会价值、难易程度,作为复印报刊资料评文和选文的标准。
2024年11月1日,哲学社会科学论文全量评价系统(复印报刊资料选编系统)正式上线运行。在该系统上,复印报刊资料编辑与编委组成的学术共同体对所有收录论文进行评议并形成评价数据。本报告选取了复印报刊资料学术系列期刊和复印报刊资料基础教育教学类期刊的选文和评文数据,作为2025年度复印报刊资料转载指数的数据样本。
(二)指标说明
1.转载指数的有效数据
2025年度复印报刊资料转载指数有3个方面的有效数据:
(1)转载量:被复印报刊资料学术系列期刊全文转载的论文篇数(注:不包含转载的非学术文章);
(2)发文数:原发刊在复印报刊资料转载周期内刊发的学术论文篇数;
(3)论文分数:学术共同体依据《规范》对论文进行评议形成的分值。
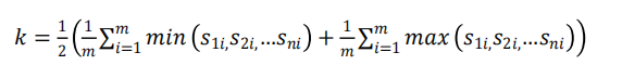
为了减少不同的评审专家打分尺度的主观差异性,对每位评审专家的所有评分结果进行修正。修正方法如下:
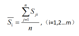
假设共有n篇论文参评,共有m位评审专家,第i个评审专家给第j篇论文的评分为Sji,则:
第i个评审专家对n篇论文评分的平均分为:
m位评审专家打分的区间平均值为:
那么,第i个评审专家评价第j篇论文修正后的值为:
对m位评审专家的修正分数进行平均后,得到第j篇论文的最终分数为:
2.转载指数的基本指标
根据以上3个方面的数据,形成了3个复印报刊资料转载指数基本指标:转载量、转载率和篇均分。
(1)转载量是指被复印报刊资料全文转载的学术论文篇数。
(2)转载率是指某期刊当年被复印报刊资料全文转载的篇数除以该刊在转载周期内的总发文数。
(3)篇均分是指被复印报刊资料全文转载的学术论文分数的算术平均值。
3.综合指数的计算公式
综合指数是对转载量、转载率、篇均分三项指标的加权求和,可以在一定程度反映期刊或作者机构全文转载的数量情况,又反映了期刊或作者机构论文转载的质量情况。
(1)期刊综合指数=0.4×转载量归一值+0.3×转载率归一值+0.3×篇均分归一值;
(2)机构综合指数=0.6×转载量归一值+0.4×篇均分归一值。
其中,各项指标均采用归一化对原数据进行量纲修正。某指标得分归一值=该指标得分值/该类数据中该指标的最大值。
(三)统计规则
1.剔除会议消息、报道、花絮、补白等明显的非学术性文章。
2.按国家新闻出版署批准的正式刊号统计。对于一号多版的期刊,转载量、发文数合并计算。对学术声誉存在重大问题的刊物,不纳入评价范围。
3.复印报刊资料不转载“增刊”论文和外文发表的文章,故“增刊”论文和外文文章(译文除外)不纳入统计范围。
4.被复印报刊资料重复转载的论文,转载量不重复计算,在各学科中取论文最高得分。
5.在期刊转载数量统计中:
(1)被转载的一组笔谈论文中,单篇满6000字计为1篇,单篇均不满6000字则总共计为1篇。
(2)内刊、报纸上发表的论文不纳入期刊转载指数统计,集刊转载论文纳入统计。
(3)若在同一种期刊上,论文被拆分为两篇及以上在不同刊期上发表时,转载量按复印报刊资料的实际转载量统计。
(四)补充说明
1.只统计被转载3篇及以上的期刊和机构进入各类转载指数表。
2.当期刊转载量相同时,则按发文数从小到大赋予序号;当转载量和发文数都相同时,则按音序赋予序号;当期刊转载量表的末尾出现转载量相同且不能全部进入时,则删掉年度发文数量相对较大的期刊;当期刊的转载率、综合指数完全相同时,则按音序赋予序号。
3.当机构的转载量、综合指数得分完全相同时,则按音序赋予序号。
4.集刊统一用“*”标识。
我们发布的复印报刊资料转载指数研究报告是基于同行评议打分和客观数据统计,只能从某些角度反映出学术期刊和教学科研机构的基本发展态势,尚有许多方面有待在今后的深入研究中继续补充完善。希望同行、专家对我们的探索和研究进行指导、帮助、批评、指正,共同为促进我国哲学社会科学学术成果评价向科学化、规范化、应用化方向发展做出贡献。
